Technological Innovation

How to Select a DC Micromotor-part2

As a first step, determine the required output power as follows:

 required output power

The motor should be rated at least 1.5 to 2 times the desired output power in relation to its maximum
output power (at nominal voltage). A motor with approximately 2.4 to 3.2 Watts maximum output power should
suffice. Referring to the MicroMo catalog, the smallest motor to achieve this power rating is the 1331 series
(13mm diameter x 31mm long). The 24 Volt version is closest to the desired operating voltage (20 volts).
To find the no-load speed, a good first approximation is simply to ratio the voltages and speeds.

a good first approximation is simply to ratio the voltages and speeds

Since our desired speed is 5,000 rpm, this represents only 53% of the no-load speed (at 20 Volts). Unless
size is of paramount importance, this motor (1331T024S) is not a great choice even though it can provide the
power required. The next selection from the catalog which meets the power requirements is the series 2230 motor
(22mm diameter and 30mm long) and the selection would again be the 24 Volt version (2230T024S). The
pertinent data for this motor is as follows:
·  n0= 9,000 rpm (at 24 Volts)
·  I0= 0.005 A
·  R= 50 Ohms
·  KM= 3.59 oz-in/A
·  Po= 2.88 Watts
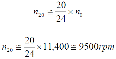
The approximate no-load speed at 20 Volts would be:
The approximate no-load speed at 20 Volts

The desired speed is 67% of the no-load speed, and even though its not quite 70%, it is worth continuing the
selection process.
The current through the motor will be the sum of the load current and the no-load current, where:


CONTACT US

Contact: Sammy

Skype:

Tel:

Email: sammyfu@electricmotorscn.com

Add: 5th Floor, Building 3, Huafeng Zhenbao Industrial Park ,Beihuan Road, Shiyan Street, Bao'an District, Shenzhen City, China.