Novel Low-Power DC-DC Converter with High-Efficiency Charge Pump Circuits
1. Introduction
The charge pump circuit generating voltage higher than the supply voltage is widely used in memory circuits, especially in non-volatile memories, such as EEPROM and flash memories for programming or erasing the floating gates.[1] Even though the Dickson structure gives a higher threshold voltage, it is found extensively in DC-DC converters using the charge pump method, these converters still have the inherent problem of a large decrease in the threshold voltage due to the diode structure of the transistor.[2] Even if an improved Dickson charge pump structure can reduce the threshold voltage decreases at each stage of the transistor, a threshold voltage decrease is still present in the final stage.[3] This proposed DC-DC converter don`t degraded threshold voltage and minimize the power loss of switch transistor.
2 Design of Low-Power DC-DC Converter
Figure 1 shows a schematic diagram of the low-power DC-DC converter circuit proposed in this study. The circuit consists of a main charge pump circuit, a gate pump circuit, a gate control switch, a clock driver, a clock generator, and a voltage level detector.
Figure 2 shows the proposed high-efficiency charge pump circuit in this study. The power loss of a charge pump in the DC-DC converter originates from a voltage drop due to the resistance of the switch transistor, the switching operation of the charge pumping capacitor, and the gate voltage of the switch transistor.
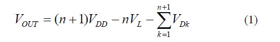
The output power is expressed as the product of the output voltage and current. The total input power consists of the power consumed in the voltage of the DC-DC converter (VDD) during the driving of the pumping capacitor.[4-5] The output voltage (VOUT) of the charge pump follows equation.
Where n is the number of stages of the charge pump. VL is the decreased voltage of VOUT due to the parasitic capacitance (CPAR)[6] and the output current (IOUT) under the applied voltage of the clock signal (VCLK), and VDk is the voltage drop of the switch transistor of the kth charge pump stage due to the on-resistance of the transistor. The voltage drop of the switch transistor originates from the on-resistance of the transistor (RON), which is given by

Contact: Sammy
Skype:
Tel:
Email: sammyfu@electricmotorscn.com
Add: 5th Floor, Building 3, Huafeng Zhenbao Industrial Park ,Beihuan Road, Shiyan Street, Bao'an District, Shenzhen City, China.