Technological Innovation

Disturbance Observer Based Current Controller for a Brushed DC Motor II

MODELING AND ANALYSIS

A. Current Controller
Velocity can be controlled using the voltage [4]. However as for the equation (6) the motor torque can be controlled by
controlling the current. Fig. 4 shows a block diagram of a PID based current controller. It is interesting to highlight the electrical/mechanical relationships as depicted in Fig. 4. For current control, back emf also plays an important role as
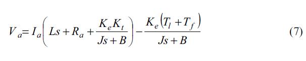
feedback. Ideally a current controller should have a current reference as as the input and current response as the output. After analyzing the system depicted in Fig 3 the relationship in (7) can be derived.

  This system works well and the results are presented in the results section. With the intention of improving the responsiveness and robustness, disturbance observer [6] is proposed to be used with the current controller. Then results
are compared to validate the applicability of the proposed method.



CONTACT US

Contact: Sammy

Skype:

Tel:

Email: sammyfu@electricmotorscn.com

Add: 5th Floor, Building 3, Huafeng Zhenbao Industrial Park ,Beihuan Road, Shiyan Street, Bao'an District, Shenzhen City, China.